This is starting to get quite far away from the heat-conservation issue,
but since we're still talking about the engine's *thermal* efficiency and
this batch of experimentation happened during the same trip for which much
of the "heatgames" page work was done, it's still relevant to live here.
3700 or so miles from Boston back to Boston, including the local running
around down there in FL. Hour after hour trying to optimize MPG conditions
through different terrain gives good opportunity to study some long-term
effects. At times I had the AutoEnginuity laptop hooked up watching and
collecting some realtime parameters, but given how the Prius does its
throttle control it's mostly about engine RPM ranges and occasional stretches
of zero-consumption warp stealth. This is why it's so perplexing that
Toyota chose not to include a tach in the Prius instrument cluster.
One theory in play this time is that overall system efficiency may also be
affected by electric motor RPM as well as engine, and a goal is to match
the peak efficiencies at any given vehicle speed as best as possible. At
higher vehicle speeds the HSD can randomly wander in and out of "heretical
mode", aka overdrive, based on pedal demand which causes engine RPM to
increase and decrease and match requested power. Now, engine efficiency
in the Prius is known to be high across a fairly broad RPM range, and all we
really have to do is avoid falling off the low end of the curve. But another
look at the motor+inverter efficiency envelope from the Oak Ridge report
reveals another area of potential concern:
which represents data for the main motor MG2, but should also apply in
general terms to MG1 and its inverter since they are of similar design. Here
we see that combined efficiency definitely has a peak at certain RPM and
torque ranges. Now, since engine torque remains relatively constant over
most of its RPM range [as shown by the vacuum gauge camping itself at 4-5
in-Hg in most cases], that steady torque must be counterbalanced against
drivetrain/wheel torque by MG1 so once again we're into a game mostly based
on RPM. But in this case, the present theory tries to take into account
how fast MG1 is spinning and make some effort to keep it turning at better
than 1500 RPM in either direction. This means that if more overall power is
needed than can be obtained in the low-engine-RPM "overdrive" range, we need
to change conditions fairly quickly to move to the higher-RPM range that
reverses MG1 and brings it to spinning forward. We can thus generate a
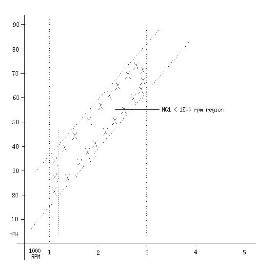
little chart of a "forbidden zone", which changes based on vehicle speed,
giving permissible ranges of engine RPM [shown on the tach] to keep MG1 in
its own efficient region:
This was generated by taking 1500 RPM as an arbitrary low point for MG1's
efficient rotation speed range. Now, the idea is to create driving conditions
that keep MG1 out of the center zone, by using pedal demand to hop across the
efficiency gap when needed. This turns out to be harder to do than expected,
since appropriate road load and demand isn't that cut and dried to best adapt
to terrain traffic. But for example, at 60-62 mph highway cruise speed, we
can stay between 1500 RPM in the engine [to produce somewhere well over 10 kW]
and 2100 RPM [left edge of "forbidden zone"], or hop right across to 2800-3000
engine RPM when needed for hill-climbing. We never want to let engine RPM
get much above 3500, to avoid entering a high-power fuel enrichment scenario
that's often been observed when one "punches it" and tends to persist for a
while afterward, and higher RPM is thought by many to reduce fuel economy
in general.
The real problem comes at lower speeds, in that delicate transition from
about 40 - 55 MPH where a lot of Prius drivers observe paradoxically *lower*
MPG than at higher speeds. Pushing hard or feather-footing, most drivers'
averages just seem to precipitously drop right out of that stratosphere
achievable at just a few MPH less by pulse-n-glide. While engine torque
remains high even at very modest RPM above idle, which hypermilers would
think is an almost ideal situation, apparently the surrounding conditions
fail to take best advantage of that to strongly thump the car forward in the
equivalent of top gear. With suitable instrumentation it's quite possible
to bring the engine safely into a high-torque, low-RPM state of operation
and then try to get the displayed instantaneous MPG as high as possible
without letting vacuum start to rise and signal load/torque falloff. But in
such a state the car simply will not accelerate very much at all, and in many
cases simply slows down! So clearly, the ability of the Prius to "grab that
low-end torque" just isn't there like it is with a manual transmission and
direct throttle control. This is puzzling because 72% of that low-vacuum
engine torque is supposed to be going straight to the driveline -- so why
don't I feel it in my butt??
I played with this for many miles at various speed ranges over conveniently
table-flat terrain through lower Delaware, allowing me to achieve long runs
of steady-state conditions at an unchanging speed. I honestly tried to "do
a Wayne" and keep the iFCD as high as I dared and still maintain speed. About
the bare minimum that would keep the car going and still show reasonably high
instantaneous MPG was this -- select the thumbnail for the larger pic:

What's going on here is as follows:
Vacuum is at its typically low-but-not-too-low level, indicating
healthy engine torque output
Engine RPM is at 1600, just barely above the point at which
vacuum would start to rise indicating torque falloff
Battery current is zero, so it doesn't enter the equation
Injector time is just into the 5.5 - 6 ms range, as indicated
by a low but nonzero reading on the "sweet spot" meter
I've got a little hand-scribbled forbidden-zone chart like
the above taped up where I can see it
I'm doing about 60 MPH most of the time
I'm holding slightly north of 50 MPG instantaneous
The terrain is *dead*-flat for miles and miles and miles
This situation will barely self-sustain with no input changes.
If I let speed fall off to around 55 MPH and keep trying to stay down in
that loaded low-RPM scenario, you'd think fuel economy would go UP because
I'm slowing down, right? Wrong! If I try to keep the iFCD just above 50 MPG,
the car gradually slows, taking that MPG down with it. Engine RPM follows
this down too, but with torque still remaining substantial -- except that at
1200 RPM, even high-torque running isn't producing as much overall *power*
so it may be sliding down the engine efficiency curve that that point
regardless. So I have to push more and dip fairly substantially below 50
MPG instantaneous for a while to get back up to speed. It is interesting
that my sustain point is above 1500 engine RPM, even though it *looks* like
torque is high through a broader region. Note that Toyota's chart doesn't
even *bother* showing torque at less than 1200 RPM. Perhaps if engine
efficiency has fallen off, vacuum is no longer a good indicator.
So there's some kind of weird parameter hump that starts to level off
and yield better performance at 60+ MPH, and below which there's a serious
and perplexing diminishing-returns area. This is not good news for the
flatlanders, but there may be a fix.
There is a situation where the delivered MPG average can be quite high in
the same mid-speed range, and that's in the "gently rolling" terrain. Here,
we're pushing a bit harder up the rises and either going to warp-stealth
on the downs or at least a very low consumption rate for longish periods
of time. I've seen runs of close to the 75 MPG level across the MFD on
mid-speed secondary highways over just the right terrain. Something about
driving that must be forcing my foot to do something more correct in terms
of efficient drivetrain usage. But this steady-state stuff just kills it.
One reason the bargraph is all over the place in the above is that in this
stretch of 13 in Delaware, there *are* occasional traffic lights. What's
nice is that they put "signal ahead" signs well before them, including a
"red" indication that starts blinking at an appropriately-timed point so
that if you see it as you pass under at the posted speed, you'll get the
yellow. This is great, because it allows for backing off into these
beautiful, long, half mile plus warp-stealth glides and optimal regen all
the way down into the almost-stop at the light -- by which time it's probably
green again and I never have to use the wheel brakes at all. Just one of
those in a 5-minute period can push that bar right up to the 99.9 level if
the time intervals fall right. It's not a long slow or stop but it forces
use of zero-consumption modes followed by a nominally-loaded acceleration to
get back to normal running. In other words, almost the same effect as that
gently-rolling terrain except that there aren't any actual hills.
This would imply that some sort of modified pulse-n-glide strategy may be
better on the flat -- not going all the way into warp-stealth in between,
but just reaching a speed and then trying to sustain at high indicated MPG
for as long as is reasonable, and repeat. Unfortunately this could really
mess with the surrounding traffic who's probably on cruise-control, but all
they have to do is allow more distance which they should be doing anyways.
Finally, I got out of Delaware and back to the mainland, toured up through
PA and crossed into NJ shortly after sunset, and kept heading north. As
I did the temps rapidly fell from the nice balmy high fifties of the day.
The hills started coming, too -- the Merritt Parkway through NY and CT
has to be one of THE most manic-depressive roads in terms of what one's foot
needs to do ... 3000 RPM climbing, warp-stealth, 3000 RPM, warp-stealth,
3000 RPM, ... butthead Beemers on my six the whole way [even in the right
lane] because they all want to do 75+ even in the occasional twisties ...
until it finally leveled out a little up toward New Haven. As I worked my
way through the rest of Connecticut the cold front really took hold, because
the MPG just went totally over the cliff. Remembering that the WAI hose was
still off the intake, I pulled into a rest-stop to put it back on and deal
with other issues, and noticed this on the MFD:

MPG rapidly sinking, except the one better bar perhaps from my no-gas glide
into the rest area. I soon got rolling again, and a while later nabbed
[badly] this amusing shot -- just from replacing the WAI hose?!

Well, it probably wasn't actually that optimistic, and probably is more due
to finally escaping those last few big climbs in CT. I arrived back home
showing an MPG average of 52.3, still a far cry down from what it had been
on all the preceding tanks of the trip.
_H* 070102, 070131